Organic-Biochemistry-Nutrition
PART 4. ALCOHOL METABOLISM
Previously: The principle was that there were two parts to an organic compound. The functional group, usually containing oxygen was where all the chemistry takes place. The rest of the molecule, generally abbreviated “R,” is usually just carbon and hydrogen. While it may affect the shape of the molecule and its individuality, so to speak, most of the chemistry is in the functional group. We assume, for example, that, until we find out otherwise, all alcohols are chemically similar, that we could make a general formula, ROH and the expectation is that all alcohols behave in roughly the same way. Beyond the alcohols, Part 3 discussed carbonyl compounds, the aldehydes and ketones. The functional group, the carbonyl, was different from the alcohol in that there were two chemical bonds to oxygen.
Transition. The new class of compounds are the carboxylic acids and new functional groups is the carboxyl group; eye-balling the new group, it looks like a combination of a hydroxyl group and a carbonyl but the rule is that if you have more than one functional group on a carbon atom, all bets are off and the collection of atoms constitutes a new functional group.
The Big Three. Where we’re going. With the big three classes of compounds in hand — alcohols, carbonyls (aldehydes and ketones) and the carboxylic acids — we can make the transition from organic chemistry to biochemistry.The simplest metabolic process is probably the series of reactions by which ingested alcohol is incorporated into metabolism. Looking back at the black box of life, we see that energy in living systems is obtained through oxidation reactions similar to the familiar combustion reactions where fuels are burned in air. In the Black Box of Life, we made the generalization that there were two kinds of fuel, glucose and the compound, acetyl-CoA (pr (ass-a-teel’-co-ay). To run oxidation reactions at low temperature and to capture the energy in useable form, it is necessary to break them up into small steps.
Ethanol as a food is converted to acetyl-CoA which is then oxidized in the TCA cycle to carbon dioxide. (With continued intake, ethanol can no longer be metabolized as a food and becomes a drug which is detoxified through a separate pathway). First, the carboxylic acids.
The Carboxylic Acids. The small carboxylic acids have common names, formic acid, acetic acid, propionic acid. The systematic nomenclature system involves taking the name of the saturated hydrocarbon with the same number of carbons (include the carboxyl group in the count), dropping the “-e” and adding the suffix “-oic acid.” Looking ahead, when we get down to the detailed chemistry of acids, it will turn out that at pH 7.0, which is normal for most biological systems, carboxylic acids are almost completely in the salt form (to be explained in the future). In any case, the rule is that, in biochemistry, we frequently refer to acids by the salt name. So,”acetate” and “acetic acid” mean the same thing: acetic acid in a solution where it is completely ionized. The corresponding salt name for acids with the “-oic: suffix is “-oate.” Common acids are shown below. Carboxylic acids of more than 12 carbons are referred to as fatty acids and generally have specific names.
Oxidation-Reduction.
Oxidation reactions in organic and biologic molecules to some extent go back to the original definition of combination with oxygen. It is possible, however, to generalize this concept and, in many reactions, oxidation is equivalent to giving up hydrogen atoms. It is for this reason that the enzymes that catalyze oxidations are called dehydrogenases. Oxidation, of course, is the sound of one hand clapping. If something is oxidized, something else must be reduced. Reduction, then, is loss of oxygen, or gain of hydrogen atoms. Enzymes are catalysts, that is, they must be recovered at the end of the reaction and can only speed up the rate at which everything comes to equilibrium. So dehydrogenases must catalyze the reduction, that is the reverse reaction. The final equilibrium point is determined by the relative stability of the products and reactants.
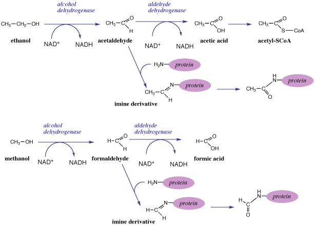
The rule is that we describe the oxidation state of a carbon atom (oxidation state goes with an atom) as the number of bonds to oxygen minus the number of bonds to hydrogen (carbon-carbon bonds contribute 0). If you calculate the numbers, you should come up with -1, +1 and +3 for the first carbon of ethanol, acetaldehyde and acetic acid. In other words: the progression from alcohol to aldehyde to acid defines an oxidation-reduction reaction. As alcohol is oxidized, the compound that gets reduced (the oxidizing agent) is the redox coenzyme, NAD; as oxidizing agent, the oxidized form is NAD+ and the reduced form (as you can tell from the added hydrogen) is NADH.
Alcohol Metabolism.
The oxidation of alcohol to acetaldehyde and then to acetic acid and conversion to acetyl-CoA.
Beyond the importance of these reactions for handling ingested alcohol, they are also a model for the general way in which biochemistry oxidizes carbon in order to generate compounds (NADH in this case) that can ultimately reduce oxygen to water (the big source of energy in biochemistry). Sugars are a polyhydroxy aldehydes and ketones and metabolism of sugar similarly involves progressive oxidation.
Alcohol that is ingested arises in microorganisms from acetaldehyde. The fermentation of glucose or other substances produces acetaldehyde which is then converted to ethanol by the action of alcohol dehydrogenase which catalyzes the reaction in the reverse direction. That direction is preferred — alcohols are more stable than aldehydes — but in metabolism of ingested alcohol, the reaction is driven forward by the next step which is more favorable — acids are also more stable than aldehydes.
Acetaldehyde is somewhat toxic and its presence accounts for many of the side-effects of drinking alcohol. Many tissues express aldehyde dehydrogenases to deal with the acetaldehyde.
An inborn error of metabolism that is fairly common in the Asian population is a deficiency or defect in aldehyde dehydrogenase. The inability to metabolize aldehyde leads to severe pain and affected people usually cannot drink at all.
A behavioral strategy for treating alcoholism that attempts to pharmacologically mimic the effects of a deficiency is the use of the drug disulfiram (Antabuse), an inhibitor of aldehyde dehydrogenase.
Methanol poisoning
Although most enzymes have high specificity for their substrates, alcohol dehydrogenase will accept many alcohols converting them to the corresponding aldehyde. The aldehyde may also be a substrate for aldehyde dehydrogenase and will be oxidized to the acid. One or both of these products may be toxic. The most important of example is methanol poisoning. Methanol, because of its structural similarity to the normal substrate ethanol, is, in fact, recognized by alcohol dehydrogenase. The reaction follows the same pattern as the normal substrate
and the product is the one carbon, aldehyde, formaldehyde. Formaldehyde can similarly be converted to formic acid by aldehyde dehydrogenase. One of the major dangers of methanol poisoning is blindness which is due to the presence of an aldehyde dehydrogenase in the eye and it is the high local build-up that is dangerous — formaldehyde poisoning because it is systemic does not usually cause blindness. The treatment for methanol poisoning is dialysis while a stop-gap measure is to administer ethanol to compete with the methanol while it is being excreted.
Reaction of aldehydes with amino groups. Amines can be thought of as derived from ammonia NH3 in the same way that you could think of alcohols as an organic analog of water. Proteins generally have amino groups on their surface and the toxic effects of both ethanol in high concentration or poisoning by methanol are due to the reaction of the carbonyl group with the amino groups of proteins. The products are called imines which can be thought of as the nitrogen analog of a carbonyl although it is recognized that the summary chart below needs more explanation (reserved fro the next OBN post). For the moment, the bottom line is that one of the toxic effects of alcohols, especially methanol, is the possibility of inactivation of proteins. Looking ahead, because sugars are also carbonyl compounds, they also react with proteins forming what are called advanced glycation end products (AGEs) which, again, can inhibit protein function. This is of particular concern for people with diabetes who characteristically have chronic high blood glucose. The particular AGE, called hemoglobin A1c, is both diagnostic of and a cause of the pathology in diabetes.
A problem for alcoholics, where the intake is high, and metabolism can’t process acetaldehyde fast enough, the production of acetic acid can contribute to acidosis (high blood acid). A similar and more dangerous problem exists in methanol poisoning where formic acidosis also exacerbates damage to the retina. High concentrations of formic acid are the usual cause of death in severe methanol poisoning.
Nutritional aspects. In addition to the toxic affects of alcohol per se, alcoholics may also be malnourished; alcohol sometimes accounts for 50% of their caloric intake. Alcoholics were traditionally the most likely to develop vitamin deficiency due to this poor nutrition, but the practice of automatically providing a vitamin cocktail in emergency rooms has made this less prevalent. The cocktail is known as “the banana bag” because it is yellow due to the vitamin riboflavin. Anecdotally, a silver lining of the high availability of fast food, has been reduced malnutrition among alcoholics.
Are you smarter than a first year medical student. Here’s an old exam question that we give to medical students to test your ability to manipulate the alcohol metabolism system. (Answer and PowerPoint explanation available at DropBox).
– – – – – – – – – – – – – – – – – – – – – – – – – – – – – – – – – – – – – – – – – – – – – – – – – – – – – – – – – – – – – – –
5. A recent issue of a toxicology journal reported the case of an 18-year-old man found unconscious in the street. On admission to the hospital, he was confused and unable to answer questions. Results of laboratory tests allowed the physician to diagnose acute poisoning with isopropanol (2-propanol). This was confirmed by information from the patient’s parents that he had drunk an unknown amount of a liquid used as printing machine cleaner (unstated but likely suicide attempt). The diagnosis was made on the basis of presence in the patient’s blood of a compound that is the product of the action of alcohol dehydrogenase on isopropanol. This oxidation product of isopropanol is:
A. acetaldehyde
B. acetone
C. acetic acid
D. propanal
E. propanoic acid
– – – – – – – – – – – – – – – – – – – – – – – – – – – – – – – – – – – – – – – – – – – – – – – – – – – – – – – – – – – – – – -.




Ahh…. at last : proof! The lower left input into the first diagram at the beginning of this article proves once and for all how essential it is to consume alcohol (or, “ethanol”). Without our beer or wine or spirits of choice the Krebs cycle would be impossible, the dearth of A’s from Southern Colorado condemning us to an anaerobic existence forever. This should be required as MADD educational material. In all seriousness, though, these articles are _really_ well written. Wait… oh, he actually had a part on “A problem for alcoholics, where the intake is high…” Ok, I better get back to studying my new favorite textbook.